Notice
Recent Posts
Recent Comments
Link
| 일 | 월 | 화 | 수 | 목 | 금 | 토 |
|---|---|---|---|---|---|---|
| 1 | 2 | 3 | ||||
| 4 | 5 | 6 | 7 | 8 | 9 | 10 |
| 11 | 12 | 13 | 14 | 15 | 16 | 17 |
| 18 | 19 | 20 | 21 | 22 | 23 | 24 |
| 25 | 26 | 27 | 28 | 29 | 30 | 31 |
Tags
- 알고리즘
- DaleStudy
- RxJS 멀티캐스팅
- 알고리즘스터디
- 스쿼드조직
- leetcode
- Observable vs Array
- React 성능 최적화 방법
- Blind75
- leedcode
- RxJS 마블 다이어그램
- useMemo 성능 최적화
- useCallback 성능 최적화
- React 리렌더링 최적화
- 협업문화
- React useMemo 사용법
- React hooks 남용 사례
- 자바스크립트 고차 함수 vs Observable
- 개발자커뮤니케이션
- RxJS 변환 오퍼레이터
- RxJS 함수형 프로그래밍
- 달래스터디
- React useEffect 안티패턴
- RxJS 오퍼레이터
- RxJS 결합 오퍼레이터
- React useCallback 사용법
- Climbing Stairs
- RxJS 생성 오퍼레이터
- RxJS 에러 처리
- contains duplicate
Archives
- Today
- Total
수쿵의 IT월드
DaleStudy | Leetcode Study 2주차 - Validate Binary Search Tree 본문

문제
Given the root of a binary tree, determine if it is a valid binary search tree (BST).
A valid BST is defined as follows:
The left subtree of a node contains only nodes with keys strictly less than the node's key.
The right subtree of a node contains only nodes with keys strictly greater than the node's key.
Both the left and right subtrees must also be binary search trees.
Example 1:

Input: root = [2,1,3]
Output: true
Example 2:

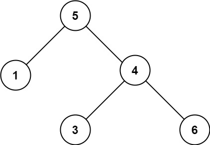
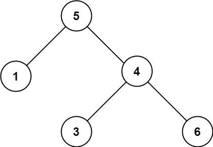
Input: root = [5,1,4,null,null,3,6]
Output: false
Explanation: The root node's value is 5 but its right child's value is 4.
Constraints:
- The number of nodes in the tree is in the range
[1, 104]. -231 <= Node.val <= 231 - 1
풀이
이 문제는 트리를 순회하면서 지금 이 트리가 BST인지 확인하는 것이다. 즉, 현재 원소의 왼쪽에는 더 작은 수가 들어가고 현재 원소의 오른쪽에는 더 큰 수가 들어가면 true이고, 그게 아니라면 false를 리턴하면된다.
보통 BST를 풀 땐 함수를 하나 더 만들어서 그 함수를 재귀시켜주면 되는데, 재귀의 조건을 잘 설정해야한다.
function isValidBST(root: TreeNode | null): boolean {
return validateBSTHelper(root, -Infinity, Infinity);
};
const validateBSTHelper = (root: TreeNode | null, minValue: number, maxValue: number): boolean => {
if (root === null) { return true; }
if (root.val <= minValue || root.val >= maxValue) { return false; }
const leftIsValid = validateBSTHelper(root.left, minValue, root.val);
return leftIsValid && validateBSTHelper(root.right, root.val, maxValue);
}
Link: https://leetcode.com/problems/validate-binary-search-tree/description/